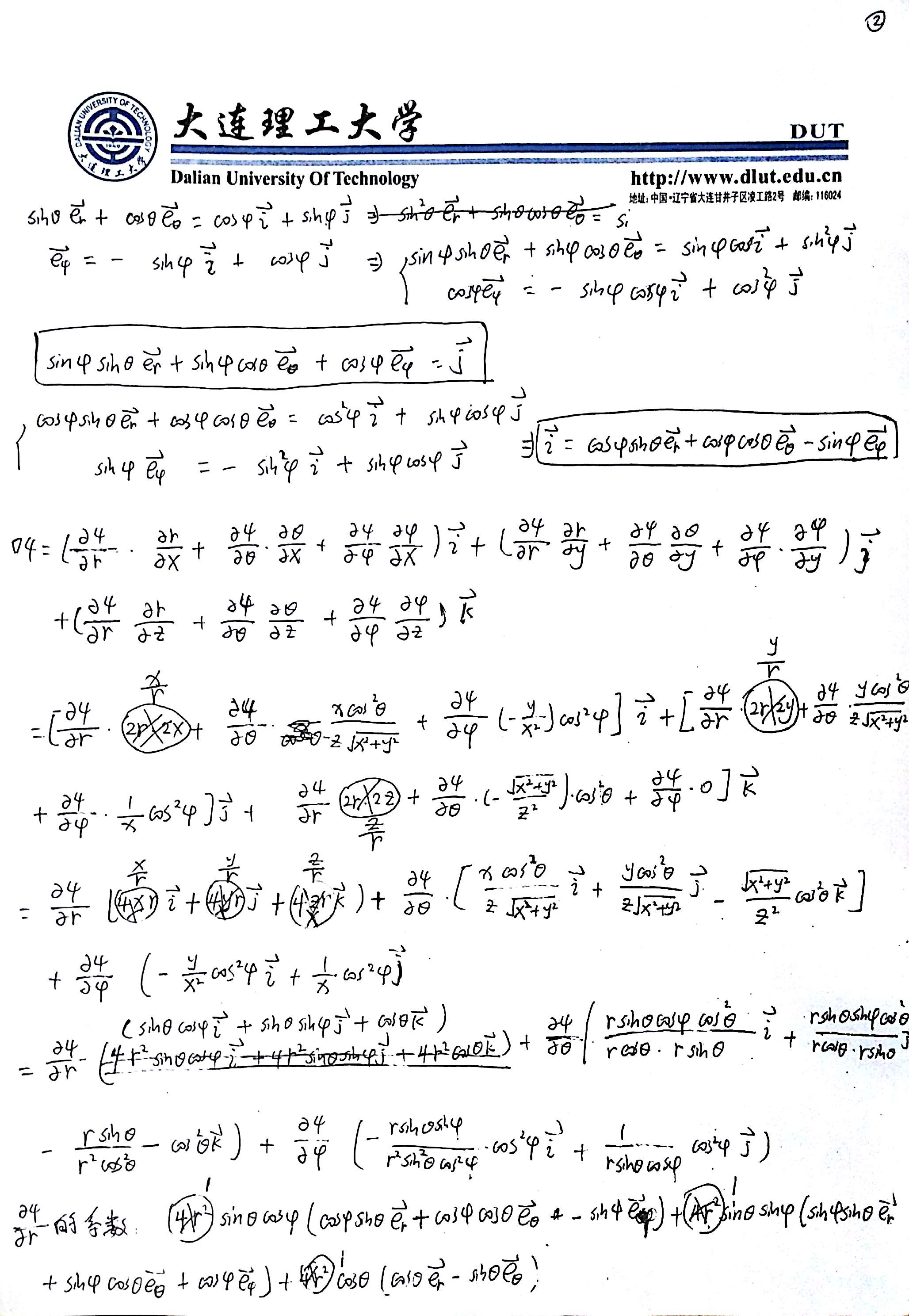
球坐标下拉普拉斯算子的推导

目录
    本文上次更新于 1849 天前,其内容可能已经过时,如果文章内容或图片资源失效,请留言反馈,我会及时处理,谢谢!

    欢迎转载,不需注明出处,就说是你写的

    如果在这个过程中遇到了其它问题,欢迎在评论区留言,如果你已解决,也欢迎把具体的解决方法留在评论区,以供后来者参考
    ×

    感谢您的支持,请扫码打赏

    微信打赏 支付宝打赏
    guest

    这个站点使用 Akismet 来减少垃圾评论。了解你的评论数据如何被处理

    0 评论
    内联反馈
    查看所有评论